안녕하세요. 주식회사 유엠씨사이언스입니다.
오늘은 Fortis Column C18, Essential Oil의 Application Note 업로드합니다.

Introduction.
Linalool과 Linalyl Acetate는 라벤더를 포함한 향나는 식물에서 자연적으로 발생하는 많은 에센셜 오일의 주요 성분입니다. 이 성분들은 식품, 영양, Aromatherapy 화장품, 살충제, 세제 산업에서 널리 사용됩니다.
향료, 향료, 화장품, 세제의 Linalool은 비타민 E의 전조로 사용되었으며, 동물 샴푸에 사용하는 천연 벼룩 퇴치제입니다.
구조가 불포화 탄화수소이기 때문에 공기 중에서 쉽게 산화됩니다. 산화된 Linalool은 습진을 일으킬 수 있습니다. Linalool을 사용한 제품의 성능을 제어하기 위해, 제조업체는 HPLC를 사용하여 라벤더 및 기타 에센셜 오일에서 이러한 구성 요소를 정량적으로 모니터링합니다.

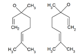
Figure 1 (S)-(+)-linalool (left) and (R)-(-)-linalool (right)
S 형태는 고수 씨앗에서 발생하며, R 형태는 라벤더 오일에서 발생한다.

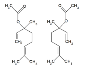
(S)-(+)-linalyl Acetate (left) and (R)-(-)-linalyl Acetate (right) Linalyl acetate 일부 독성 성질을 가질 수 있다.
Experimental.
고객은 생산성 향상을 위해 Linalool과 Linalyl Acetate의 R 형태만 포함된 라벤더 오일 Lavender oil의 QC 화면에 대해 UHPLC 1.7um Fortis C18 입자를 평가했습니다.
분석 조건.
Column : 1.7um Fortis C18 50*2.1mm P/N F18-020301
Mobil Phase :
A: H2O
B: ACNGradient : 60-100% in 10 mins
Flow Rate : 0.4ml/min
Temp : Ambient
Detection : UV 200nm

Results.
여기서 유량을 최적을 넘어 0.4ml/min으로 증가시킨 후에도 Linalool에 대한 기준 분해능이 여전히 달성된다는 것을 알 수 있습니다. 이는 잘 포장된 작은 입자들은 매우 평평한 van Deemter 곡선을 가지고 있기 때문이며, 이는 유량을 최적치를 초과하여 증가시키는 것이 분리 효율에 해로운 영향을 끼치지 않는다는 것을 의미합니다.
Conclusion.
잘 가공된 입자(이 실험에선 1.7um Fortis C18 particle)는 분리 효율성을 저하시키지 않고 탁월한 해상도를 제공합니다. 이를 통해 기존의 HPLC 방식에서 해결책을 얻으면서 실행 시간을 단축함으로써 생산성을 높일 수 있습니다.
Fortis C18 Column은 Essential Oil 분리 시, 실행 시간을 단축함으로써 생산성을 높일 수 있습니다.
References.
1. Environ Mol Mutagen. 2011 Jan;52(1):69071. doi: 10.1002/em.20587.
Genotoxicity of lavender oil, linalyl acetate, and inalool on human lymphocytes in vitre.
Di Sotta A, Mazzanti G, Carbone F, Hrelia P, Maffei F.
Source
Department of Physiology and Pharmacology V. Erspamer, Sapienza University, Rome, Italy.
'Column' 카테고리의 다른 글
| Fortis H2O Column, Amino acids Application Note. (0) | 2021.06.21 |
|---|---|
| 대마초 화학 성분 Cannabinoids HPLC 분석, Fortis SpeedCore C18 Column, cannabinoid Application Note. (0) | 2021.06.11 |
| 페녹시 제초제 HPLC 분석 조건/Fortis Cyano Column, Herbicides(Phenoxy acids) Application Note. (0) | 2021.05.31 |
| Fortis Column으로 Methyl paraben STD 분석! (0) | 2021.05.12 |
| Fortis SpeedCore Column 종류 (0) | 2021.03.23 |