안녕하세요. 주식회사 유엠씨사이언스입니다.
오늘은 Fortis Column 중에 Cyano Column을 이용한 제초제 Herbicides(Phenoxy acids) Application Note를 포스팅합니다.

Introduction.
페녹시 제초제 Herbicides(Phenoxy acids)의 산성 특성으로 인해 C18에서 유지하기 어렵습니다. 반면 가스 크로마토그래피는 유도 단계를 필요로 합니다. Fortis Cyano 고정 단계의 전기적으로 음성을 띠는 질소는 극성 분석체를 유지하는 데 활용할 수 있는 강력한 쌍극자를 유발합니다. 이 상은 역방향 및 일반 위상 기능을 가진 매우 다재다능하므로 HPLC 선택 도구 상자에도 완벽하게 추가됩니다.
→ Cyano Column을 사용해야 된다는 소리.

Experimental.
분리 작업을 수행하는 회사는 극성 페녹시제 살충제 검사를 위한 HPLC 방식을 설정하는 데 관심이 있었습니다.
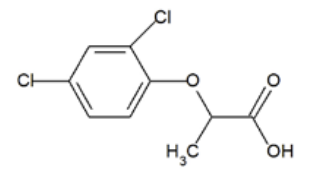
Vanvel(그림 2), 2,4-D(그림 3), MCPA(그림 4), PCOC(그림 5), 2,4-DP(그림 6), 2,4-DP(그림 7), CMPP(그림 8), 2,4-DB(그림 9), MCPB(그림 10)
한 영역 반응의 변동을 정규화하기 위해 내부 표준물질이 사용되었습니다.
분석 조건.
Column : Fortis Cyano, 50*2.1mm, 3㎛ P/N FCN-020303
Mobile phase : 80 : 20 H2O : ACN +0.2% Acetic Acid
Flow Rate : 0.2ml/min
Temp : 20℃
Detection : UV 280nm

Results.
극성 페녹시 제초제는 Fortis Cyano 정지 단계에서 Cyano 그룹의 쌍극자와의 상호작용으로 잘 보존됩니다. 이것은 페녹시 제초제 Herbicides(Phenoxy acids)의 일상적인 검사를 위한 간단한 Isocratic 분리로 귀결됩니다.
Conclusion.
Fortis Cyano column의 강력한 쌍극자 덕분에 극성 분석을 유지할 수 있는 독특한 선택성을 갖게 되었습니다.
Fortis Cyano Column은 극성 페녹시 제초제 Herbicides(Phenoxy acids)를 단순한 Isocratic 분리가 가능하고, 역상 조건에서 탁월한 분해능을 제공합니다.
References.
1. Pesticide Usage Survey Report 235, Arable Crops in the United Kingdom 2010, National Statistics, Department for Food, Environment and Rural Affairs.









'Column' 카테고리의 다른 글
| 대마초 화학 성분 Cannabinoids HPLC 분석, Fortis SpeedCore C18 Column, cannabinoid Application Note. (0) | 2021.06.11 |
|---|---|
| 에센셜 오일 HPLC 분석 조건/Fortis C18 Column Essential Oil Application Note. (0) | 2021.06.04 |
| Fortis Column으로 Methyl paraben STD 분석! (0) | 2021.05.12 |
| Fortis SpeedCore Column 종류 (0) | 2021.03.23 |
| 나이아신아마이드&아데노신 분석, 화장품 분석, C18 Column 추천 Fortis SpeedCore Column (0) | 2021.03.17 |